demo
首页 部门概况 新闻动态 通知公告 学术活动 学位学科 规章制度 数字资源服务
文章
Article

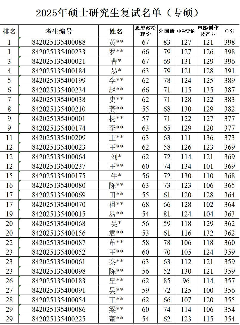
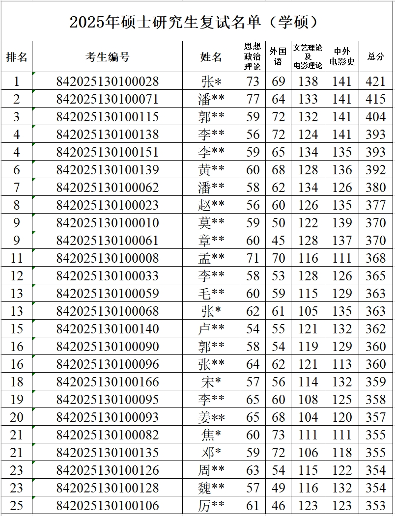
2025年硕士研究生复试名单(学硕+专硕)

文章来源:研究生教务部
时间:2025-03-05
Aa:
小 中 大
2025年硕士研究生复试名单(学硕+专硕)2.jpg
2025年硕士研究生复试名单(学硕+专硕)1.jpg

上一篇: 关于2025年研究生招生考试初试成绩公布及复核等工作的通知 下一篇: 思想政治品德鉴定表
最新动态
2026-03-12
2026年艺术学专业复试名单(学硕+专硕)
2026-03-12
2026年硕士研究生招生复试录取工作办法
2026-03-12
思想政治品德鉴定表
2026-03-09
戏剧与影视——电影创作(含纪录片)方向导师——皇甫宜川
2026-03-09
戏剧与影视——电影创作(含纪录片)方向导师——黎涛
2026-03-09
戏剧与影视——电影创作(含纪录片)方向导师——韩君倩
2026-03-09
戏剧与影视——电影创作(含纪录片)方向导师——李相
2026-03-09
戏剧与影视——电影创作(含纪录片)方向导师——杨天东
2026-03-09
戏剧与影视——电影创作(含纪录片)方向导师——虞晓
2026-03-09
戏剧与影视——剧本创作方向导师——王群
热门链接
中国知网 国务院学位委员会 中国电影艺术研究中心
中国文明网 中国文明网 中国电影报
学习强国 教育部学位与研究生教育发展中心 中国电影学术网
国家电影局 中国学位与研究生教育学会 中国艺术硕士网
教育部 学信网
logo
地址:北京市海淀区小西天文慧园路3号 邮编:100082
电话: 传真:010-62268952 邮箱:yjsb03@sina.com